电话:400-123-4567


第二系列 当前位置: 首页 > 水果采摘 > 第二系列

线讲 :分块矩阵的基本运算与拉普拉斯定理

时间:2026-02-05 04:47:08

 

  从前面的讨论可以看到,不论是行列式的计算还是利用矩阵来求解线性方程组,或者解决其他问题,当矩阵的阶数比较大的时候,要完成任务计算量是非常大的. 而在现实问题中,涉及的矩阵规模会非常大,这样一次性把矩阵作为一个整体来处理会非常耗费时间,而且占有的存储空间会非常大,因此对计算机的要求会要求非常高! 而现在的计算机的特点是包含了很多的计算单元,也就是可以同时处理多个任务;另外,经过适当处理的处理,也可以把一个任务分发到不同的计算来进行处理,这样就可以将一个大型复杂的计算问题拆分很多的计算量较小的问题来处理,这个思想应用到矩阵计算中,就是对矩阵进行分块,利用模块化和批处理的思想,将大规模的矩阵运算化为若干小型矩阵的运算,从而使得运算更加简明,达到提高矩阵运算. 变换的效率目的. 对矩阵分块是处理阶数较高的矩阵的非常重要的方法.

  本讲的任务: 首先给出分块矩阵的概念与常用的分块方法与原则, 然后讨论分块矩阵的运算,最后学习分块初等变换与分块初等矩阵.

  首先通过一个简单的例子说明矩阵分块的基本思想. 考察以下矩阵并注意绘制的两条虚线.

  通过矩阵 的第 2 行与第 3 行之间、第 2 列与第 3 列之间绘制的水平虚线和垂直虚线 个小矩阵,我们把它们记为

  如果把小矩阵 视为 4 个元素,此时矩阵 可视为形式上的 2 阶方阵。这一做法称为对 的分块,对应的形式矩阵即是分块矩阵.

  通过矩阵分块可以将行数与列数较多的矩阵,根据需要和矩阵中元素的分布规律,利用低阶矩阵描述,例如上面就将一个 5 阶矩阵描述为 2 阶分块矩阵。

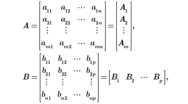
  定义1对于一个 矩阵 ,在 的行之间加入 条横线,在 的列之间加入 条坚线,则 被分成 个小矩阵,依次记为:

  把 视作以 为元素的形式上的 矩阵,称为分块矩阵,或称为对矩阵 的分块,每个小矩阵 称为 的子块.

  【注】注意这里的记号 与矩阵代数余子式的区别,也提醒我们,在看到一个记号的时候要注意其使用的背景,或者注意对符号的说明!相同的记号在不同的地方具有不同的涵义。

  当考虑将一个矩阵分块时,一个重要的原则就是分块后的子块尽量包含有便于计算和具有一些特殊性质的矩阵,比如单位矩阵、零矩阵、三角形矩阵、对角矩阵等等,当然有时候也需要根据问题的需求来考虑对矩阵进行分块处理.

  当 阶方阵中的非零元素都集合在主对角线附近时,可考虑将矩阵分块为如下的分块对角矩阵.

  矩阵的分块形式一般没有固定规律,一般是结合实际需要和原矩阵的结构特点,为计算简便出发来进行矩阵分块.

  其中 为 的零矩阵, 为 的零矩阵, 为 的零矩阵, 为 的零矩阵, 分别为 和 的零矩阵。

  作为一类元素为矩阵的矩阵,当然也有矩阵的基本运算,比如加法、数乘、矩阵乘法、转置等,由于其元素的特殊性,当然也有自己的一些不同的运算规律和要求. 下面在将分块矩阵视为矩阵对象的基础上,来讨论分块矩阵的这些运算法则.

  基本原理:在满足矩阵运算前提的基础上,首先将每个子块看作 元素,利用子块记号施以相应抽象符号运算;然后将每个子块作为矩阵,将子块施以以数为元素的通常的矩阵运算. 即在子块和元素两个不同层次分别实施运算.

  设 是 矩阵, 是 矩阵, 分块为 分块矩阵和 分块为 分块,且 的列分块法和 的行分块法完全相同,则

  其中 . 依分块矩阵的乘法要求, 的行的分法必须与 的列的分法相一致, 而 的列可以任意分. 因此为计算方便,将 分块如下

  【注】矩阵空白位置都为 0 . 这样也就将 5 阶矩阵逆矩阵计算问题转换为了熟悉、简单的二阶矩阵和常数项的逆矩阵计算问题.

  【注】如果 ,则 ,即 的每一列都是齐次线性方程组 的解. 基于列矩阵的形式,方程组的解可以描述矩阵形式. 比如,如果 是 元线性方程组的唯一解,则解可以描述列向量

  如果 4 元线性方程组的解是以 为自由未知数,以 为基本未知数的描述形式,比如 ,在通解可以描述为

  (2) 若用 表示只有第 行与第 列交叉处为 1,其余元素都为 0 的 阶方阵,那么 .

  :若对 分别按照列分块与行分块,结果是怎样的?在此基础上可借助分块矩阵乘法来分析初等矩阵与初等变换之间的联系,例如:

  设分块矩阵 ,则下述三种变换称为分块初等行 (列) 变换:(1) 互换 的两行(列);

  (3) 的某一行(列)全部子块左(右)乘矩阵 加到另一行(列)。分块初等行变换与分块初等列变换统称为

  将分块的单位矩阵做一次分块初等变换,所得到的分块矩阵称为分块初等矩阵.分块初等矩阵有 3 种类型,与 3 种初等变换相对应:(2) 或 (其中 皆为行列式值非零的方阵);

  和初等矩阵与初等变换的关系一样,用上述分块初等矩阵左乘一个分块矩阵,只要分块矩阵的乘法能够进行,其结果就相当于对矩阵进行了相应的分块初等行变换.

  同样,用分块初等矩阵右乘一个分块矩阵,只要分块矩阵的乘法能够进行,其结果就相当于对它进行了相应的分块初等列变换。

  在一个 阶行列式 中任意选定 行: 和 列: ,位于这些选定的行和列交叉处的 个元素按原来的次序所组成的 阶行列式 称为 的一个

  . 划去选定的 行和 列后剩下的元素按原来的次序所组成的 阶行列式 称为 的余子式。称为 的

  选定 1、4 行和 2、3 列交叉处的 4 个元素构成一个 2 阶子式 , 的余子式为

  (Laplace 定理)在 阶行列式 中任意取定 行(列),由这 行 (列)的元素所组成的一切 阶子式与它们对应代数余子式的乘积之和等于行列式 .即在 中选定 行后,则它在这 行 列行列式中的所有 阶子式的个数为 个,对应的子式与代数余子式分别记作 ,则行列式的值为

  能够组成的二阶子式共有 个,分别选做的列为 12,13,14,23,24,34,故构成的二阶子式及对应的代数余子式为

  从上例可以看到,虽然 Laplace 定理可以实现快速的降阶,但是由于计算子式与对应的余子式仍需计算相当数量的行列式,因此对一般形式的行列式计算而言,Laplace 定理的 效率提升并不明显. 但是对于一些特殊形式的行列式,利用 Laplace 定理可以极大简化计算.

  :(1)取前 行进行展开,只有当其子式为 时,才有可能不会为零。因为其它的子式中至少有一列元素全为零,所以其它子式都等于零。而当子式为 时,其余子式为 , 代数余子式为所以由普拉斯定理可得

  类似(1),取前 行进行展开,只有当其子式为 时,才有可能不会为零. 而当子式为 时,其余子式为 ,代数余子式为所以由普拉斯定理可得

  类似也有分块上三角矩阵对应的行列式的值.由此可知,当方阵中非零元素都集合在主对角线附近时,可将矩阵分块为分块对角矩阵

  由以上结论可知:对于分块矩阵,某行左乘一个矩阵加到另一行,其行列式的值不变;某列右乘一个矩阵加到另一列,其行列式的值不变. 即有

  ,可以点击公众号底部菜单中的“全部推文分类导航”选项,问题交流讨论请到添加配套QQ群!课件源文件、最新推文PDF文档下载,

返回

地址:广东省广州市天河区88号 电话:400-123-4567
版权所有:Copyright © 2012-2018 某某网站 版权所有 非商用版本 ICP备案编号:琼ICP备xxxxxxxx号